スーパーやコンビニでは、高〇〇や××たっぷりといった特定の栄養素が強調表示された食品が様々販売されています。その代表的な栄養素として、食物繊維が挙げられます。当社では今回、インターネット上で食物繊維のニーズを調査しました。その調査結果をご紹介します。ぜひ商品開発にご参考ください。
調査実質期間 2023年11月
調査人数:500人(20代~60代以上 各年代男女50人ずつ)
調査参加者の特性:普段コンビニエンスストアで調理済み食品を週に一度以上購入している人
食物繊維は、小腸で消化・吸収されずに、大腸まで達する食品成分です。様々な効果が報告されており。整腸効果、血糖値上昇の抑制効果、血液中のコレステロール濃度の低下効果、さらには心筋梗塞、脳卒中、2型糖尿病、乳がん、胃がん、大腸がんなどの発症リスク低下が観察されるという研究報告も存在します。「日本人の食事摂取基準(2020年版)」では、一日あたりの目標量が、18~64歳で男性21g以上、女性18g以上となっています。しかしながら、日本人の多くはこの摂取量を満たしていないと言われています。今回の調査で、食物繊維の過不足に関する自己認識を尋ねたところ、「やや足りていない」、「まったく足りていない」と答えた方が49.4%に達しています。ここからも、摂取不足気味なことが伺えます。

続いての質問では、望ましい摂取方法について尋ねました。その結果「食材の利用、日常のメニューや材料の工夫」が45.8%でトップとなり、素材の特徴を生かした摂取方法が好まれることが明らかになりました。「サプリメントでの摂取」は26.4%でした。

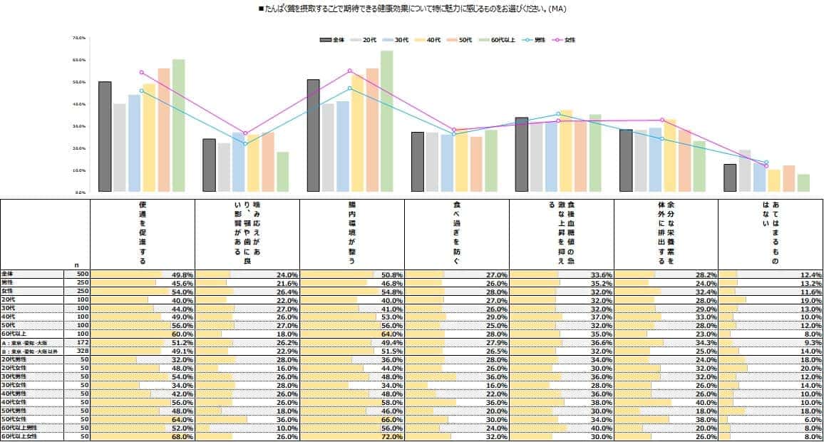
食物繊維の健康効果の中で魅力に感じるものを尋ねたところ、高い順に「腸内環境が整う」が50.8%、「便通を促進する」が49.8%、「食後血糖値の急激な上昇を抑える」が33.6%となりました。「腸内環境」「便通促進」は約半数と高いスコアであり、全体的に男性より女性のスコアが高く、さらに年代が高くなるにつれてスコアも高まる傾向となりました。

おにぎり、サンドイッチなど商品で食物繊維が強化された場合の「適正だと感じる価格」についても尋ねました。その結果、30円前後の上昇幅が適正と感じる結果となりました。加えて、「食物繊維が強化された場合の高いと思い始める価格」、「食物繊維が強化された場合の高すぎて買わないと思い始める価格」についても尋ねたところ、それぞれ60円前後の上昇幅、100円前後の上昇幅という結果になりました。

今回の記事では、コンビニユーザーの食物繊維と食物繊維強化商品に対するニーズについて紹介しました。食物繊維を摂取不足気味に感じている方が約半数に達し、食物繊維の健康効果に魅力に感じる人も多い結果となりました。食物繊維が強化された場合の適正だと感じる価格も明らかになりましたので、ぜひ商品開発にご参考ください。

今注目を集めている食品トレンド情報や
食品開発に関する資料を
無料でご提供しています。
是非この機会にご覧ください。

ペクチン、ゼラチン、キサンタンガム、
カラギナンなど
ハイドロコロイドに
ついて徹底解説。
ハイドロコロイドの概要から、
各種の特徴を全75ページにわたって
徹底に解説しています。
是非ご覧ください。
アメリカでは減量薬として「GLP-1薬(GLP-1受容体作動薬)」が近年広がり、それに対応してGLP-1薬を使用する人の向けの「GLP-1薬フレンドリー」食品・飲料 の市場が広がっています。その動きを紹介します。
食品の企画・開発に関わる人のための専門メディア「食品開発ラボ」は、ユニテックフーズ株式会社が運営しています。
当社では創業以来独自の素材・製品で新しい食品の価値を創造することをコンセプトに、ペクチンをはじめとするハイドロコロイドの研究や素材を組み合わせたこれまでにない特性を持つ製品の開発、加えてお客様のご要望に応じた当社製品を実際の食品に用いた利用・応用技術の開発を行っています。
商品企画・開発において何かお困りごとがあれば、きっと当社がお役に立てると思います。
是非お気軽にお問い合わせください。